您好,欢迎来到兰博利德
二开
400-6869-840   /   010-60608020
  • IPTG(货号:0487)
  • IPTG(货号:0487)

    CAS:367-93-1
    • ¥0.00
      ¥0.00
CAS:
CAS:367-93-1

产品货号:0487

储存温度:-20℃,有效期2年

产品描述

IPTG为安慰性诱导物,X-gal为生色底物,二者共同用于蓝白斑筛选。当pUC系列的载体DNA(或其他带有lacZ 基因载体DNA)以lacZ 缺失细胞为宿主进行转化时、或用M13噬菌体的载体DNA进行转染时,如果在平板培养基中加入X–Gal和IPTG,由于β–半乳糖苷酶的α–互补性,可以根据是否呈现白色菌落(或噬菌斑)而方便地挑选出基因重组体。此外,它还可以作为具有lac或tac等启动子的表达载体的表达诱导物使用。IPTG也是常用的基因工程中重组蛋白表达的诱导剂。

产品性质

中文别名(Chinese synonym)

异丙基-β-D-硫代半乳糖苷

英文别名(English synonym)

IPTG Solution

CAS号(CAS NO.)

367-93-1

分子式(Formula)

C9H18O5S

分子量(Molecular weight)

238.3

外观(Appearance)

白色粉末

纯度(Purity)

≥99%

溶解性(Solubility)

溶于水(100 mg/mL)

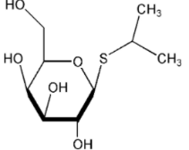
结构式(Structure)

    

储存液配制 

1)称取 0.238 g IPTG;加入 10 mL 去离子水充分溶解 IPTG 粉末,配制 0.1 M 的储存液;

2)用 5-10 mL 去离子水润湿 0.22 μm 针孔过滤;

3)0.22 μm 滤膜除菌上述 IPTG 溶液。分装成 1 mL,-20℃冻存,有效期可达 1 年。

蓝白斑筛选

1. X-Gal、IPTG 加入琼脂培养基溶液

1)高压灭菌已加琼脂的培养基,并冷却到 50℃左右。

2)每毫升培养基内加入 10 μL 20 mg/mL X-gal 溶液、10 μL 0.1 M 的 IPTG(使其终浓到 1mM);

3)加入适量抗生素;

4)混匀后按照平板大小倒入适量培养基,待培养基冷却至室温后,接种细菌于 37℃过夜培养。

2. X-Gal、IPTG 加到琼脂平板表面

1)于无菌超净工作台制备平板(如 LB 琼脂板);

2)取 40 μL 0.1 M IPTG 和 120 μL 20 mg/mL X-gal 混合,均匀地涂布于准备好的平板上;

【注】:平板边缘较难充分涂布均匀,容易产生假阳性,因此,为了得到更好结果, 建议后续操作中尽可能在平板中间挑取单克隆。

3)37℃孵育直至所有液体被吸收(30 min 或更长)。接种细菌于 37℃过夜培养直到菌落形成。

注意事项

1)含有 IPTG 的培养基 4℃避光保存,须在 1 周内使用。

2)为了您的安全和健康,请穿实验服并戴一次性手套操作。

3)本品仅用于实验研究。


400-6869-840
客服电话
010-6060-8020
联系电话
PRODUCT CENTER
产品中心

您好,欢迎访问北京兰博利德官网